Труба ПНД для водопровода
Определение
Труба ПНД для водопровода – труба, которая изготавливается на базе полиэтилена, выдерживающего низкое давление. Область применения изделия охватывает трубопроводы различного назначения, обеспечивающие передачу жидких и газообразных сред. Трубы ПНД чаще всего применяются для организации транспортировки воды, предназначенной для питья либо хозяйственны нужд, а также предусматривают температурный диапазон эксплуатации в рамках от 0 до 40°С.
Характеристики труб ПНД
Трубы напорные из ПНД предусматривают следующие характеристики:
- Средний наружный диаметр – рассчитывается путем деления размера наружного периметра трубы на значение p = 3,142. Полученное значение округляется с точностью до одной десятой доли в миллиметрах;
- Номинальный наружный диаметр – размер, который показывает минимальный усредненный наружный диаметр;
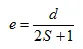
- Номинальная толщина стенки – значение, которое равно минимально возможной толщине стенки трубы, округляется до десятых долей в миллиметрах и рассчитывается в соответствии с формулой:
где d-номинальный наружный диаметр, S-серия трубы
- Серия трубы – нормированное значение, расчет которого производится согласно формуле:
Где s – напряжение, которое допускается в стенке трубы, расчет которого производится по формуле:
где MRS - минимальная длительная прочность, а С – коэффициент запаса прочности. Для воды он равен 1,25. MOP – максимальное рабочее давление;
- Минимальная длительная прочность (MRS) – показатель, который позволяет рассчитать прочность базового материала путем экстраполяции и определить возможность его эксплуатации в течение 50 лет при температуре воздуха 20°С, а также в соответствии с параметрами стойкости труб после воздействия внутреннего давления гидростатического типа с нижним доверительным интервалом 97,5. Полученное значение при расчетах округляется до ближайшего в нижнем ряду R10 в соответствии с ГОСТ 8032;
- Стандартное размерное отношение (SDR) - отношение номинального наружного диаметра трубы d к номинальной толщине стенки е;
- Коэффициент снижения давления - коэффициент снижения максимального рабочего давления МОР, который напрямую зависит от температурных показателей воды, предназначенной для транспортировки;
- Максимальное рабочее давление (MOP) - Максимальное давление воды в трубопроводе, которое рассчитывается на основании формулы:
где MRS – минимальная длительная прочность, C – коэффициент запаса прочности, SDR – стандартное размерное отношение, Сt – коэффициент снижения давления в зависимости от температуры.
Основная классификация труб
- В зависимости от прочности и минимального срока использования трубы ПНД бывают: ПЭ 32, ПЭ 63, ПЭ 80 и ПЭ 100;
- В зависимости от показателей размерного соотношения стандартного типа ПНД трубы бывают: SDR 41, SDR 26, SDR 21, SDR 6, SDR 17, SDR 13.6, SDR 13, SDR 11, SDR 9, SDR 7.4, SDR 6;
- В зависимости от серии изделия трубы подразделяются на: S20, S16, S5, S10 S8.3, S8, S6.3, S5, S4, S3.2, S2.5;
- В зависимости от показателей выдерживаемого давления трубы бывают: PN 5, PN 3.2, PN 4, PN 5, PN 6.3, PN 7.5, PN 8, PN 9.5, PN 10, PN 12.5, PN 15, PN 16, PN 20, PN 25 (105 Па).
Основные технические характеристики труб ПНД:
|
Показатель |
ПЭ 32 |
ПЭ 63 |
ПЭ 80 |
ПЭ 100 |
|
Относительное удлинение при разрыве, %, не менее |
250 |
250 |
350 |
350 |
|
Изменение длины труб после прогрева, %, не более |
3 |
3 |
3 |
3 |
|
Стойкость при постоянном внутреннем давлении при 20 °С, ч, не менее |
При начальном напряжении в стенке трубы 6,5 МПа 100 |
При начальном напряжении в стенке трубы 8,0 МПа 100 |
При начальном напряжении в стенке трубы 9,0 МПа 100 |
При начальном напряжении в стенке трубы 12,4 МПа 100 |
|
Стойкость при постоянном внутреннем давлении при 80 °С при хрупком разрушении для ПЭ 63, ПЭ 80, ПЭ 100, ч, не менее |
При начальном напряжении в стенке трубы 2,0 МПа 165 |
При начальном напряжении в стенке трубы 3,5 МПа 165 |
При начальном напряжении в стенке трубы 4,5 МПа 165 |
При начальном напряжении в стенке трубы 5,4 МПа 165 |
|
Стойкость при постоянном внутреннем давлении при 80 °С, ч, не менее |
При начальном напряжении в стенке трубы 1,5 МПа 1000 |
При начальном напряжении в стенке трубы 3,2 МПа 1000 |
При начальном напряжении в стенке трубы 4,0 МПа 1000 |
При начальном напряжении в стенке трубы 5,0 МПа 1000 |
Трубы ПНД производятся в виде отрезков длиной 6 либо 12 метров. А если диаметр изделия составляет менее 110 мм, возможен вариант изготовления труб в бухтах.
Производство труб ПНД регламентируется ГОСТ 18599-2001.






