Теплопроводность
Определение
Теплопроводность – процесс переноса внутренней энергии от более нагретых частей тела к менее нагретым частям тела.Такой процесс происходит в любых телах или системах с неоднородной температурой, т.к. любая система стремится к термодинамическому равновесию.
В зависимости от того, в каком агрегатном состоянии находится вещество, изменяется механизм теплопередачи. Теплопроводность является количественной мерой способности тела к передаче тепловой энергии, характеризуемой показателем теплопроводности.
Коэффициент теплопроводности – количество теплоты, проходящей через материал толщиной 1 м, площадью поверхности 1м2, за единицу времени 1 секунда при изменении температуры в 1 кельвин (10 °С). В единицах измерения СИ выражается Вт/(м*К).
Теплота – энергия, которое получает или теряет тело в процессе теплообмена.
Коэффициент теплопроводности, при стационарном потоке тепла, рассчитывается, исходя из интегральной формы закона теплопроводности Фурье:
P - суммарные потери тепловой энергии;
S - площадь сечения, проводящего тепловой поток;
λ – коэффициент удельной теплопроводности;
T - разность температур в исследуемых точках;
l - длина отрезка между выбранными точками.
Закон справедлив для точек, расположенных на перпендикулярной сечению, проводящий поток тепловой энергии, линии.
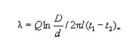
Согласно приложению Д ГОСТ 30732-2006, для определения теплопроводности трубы, изолированной при помощи ППУ, применяется выражение:
Q – поток тепловой энергии;
D - наружный диаметр труба-оболочки;
d - наружный диаметр стальной трубы;
l - протяженность экспериментальной рабочей секции;
t1, t2 - значения температуры трубы и оболочки.
Показатель теплопроводности является необходимым параметром при расчете слоя изоляции стальной трубы. Расчеты проводятся на основании СНиП 41-03-2003 и СП 41-103-2000.

