Сильфонный компенсационный узел (СКУ) в ППУ изоляции
Определение
Сильфонный компенсационный узел (СКУ) в ППУ изоляции – фасонное изделие для тепловых сетей по ГОСТ 30732-206, позволяющее воспринимать и компенсировать температурные расширения, трубопроводные несоосности и вибрационные воздействия в тепловых сетях с изоляцией из пенополиурентана. Для реализации данных задач разрешено применять сильфонные осевые компенсаторы (КСО) и сильфонные стартовые компенсаторы (ССК).
Конструкция СКУ в ППУ изоляции
Главным элементом Сильфонного Компенсационного Устройства является сильфонный компенсатор. В случае, когда роль сильфона выполняет КСО, изоляция СКУ производится только в промышленных условиях. Конструкция осевого СКУ в ППУ изоляции предусматривает полную герметичность, при которой теплоизолирующий слой и провода системы ОДК должны быть полностью защищены от проникновения влаги. Для реализации этих целей сильфон закрывается защитным кожухом, который предохраняет изделие от крутящих и изгибающих воздействий, а также предотвращает проникновение частичек грунта в промежутки между сильфонными гофрами. Для усиления устойчивости конструкции к сильфону привариваются патрубки. Поверх защитного кожуха и наваренных патрубков наносится ППУ изоляция по технологии «Труба в Трубе».Функцию защитной оболочки может выполнять полиэтилен либо слой оцинкованной стали. При использовании ССК в роли сильфона изолирование СКУ производится в процессе укладки теплосетей.
Основные характеристики СКУ
Основные параметры, которые характеризуют СКУ, это: диаметр компенсатора, максимальное давление теплоносителя, максимальная температура теплоносителя, осевой ход (компенсирующая способность), строительная длина компенсатора.
Диаметр, ГОСТ, марка стали, толщина стенки стальной трубы; толщина изоляционного слоя и вид защитной оболочки СКУ должны соответствовать аналогичным параметрам на участках тепловой трассы прямого типа. СКУ, изолированные ППУ, должны предусматривать наличие проводников системы ОДК.
Монтаж СКУ
Установка компенсатора регламентируется ПБ 10-573-03 и предусматривает монтаж изделия между 2 неподвижными опорами, изолированными ППУ. При этом, линейное удлинение трубопровода не должно превышать компенсирующую способность СКУ. Рекомендовано с обеих сторон от компенсатора на расстоянии 1,5-2 диаметра несущей трубы устанавливать скользящие хомутовые опоры. Изделие монтируется на трубопроводе с предварительной растяжкой.
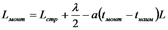
Длина компенсатора при монтаже L монт (мм) определяется по формуле:
где Lстр. - строительная длина компенсатора в состоянии поставки (мм);
λ - компенсирующая способность компенсатора (мм);
а - коэффициент линейного расширения трубной стали, применяемый 0,012 (мм/м °С);
tнаим. - наименьшая температура воздуха при эксплуатации (°С);
L - длина участка компенсатора между неподвижными опорами, на котором монтируется компенсатор (м);
tмонт.- температура теплоносителя (°С).




