ППУ
- Определение
- Способ получения ППУ
- Протекание реакции
- Теплоизоляция ППУ
- Химическое строение ППУ
- Свойства и характеристики ППУ
- История образования ППУ
- Сферы применения
- Способы изоляции трубопроводов
- Преимущества ППУ
Определение
Пенополиуретан ( ППУ ) - группа газонаполненных пластмасс на основе гетероцепных полимеров, на 85-90 % состоящих из инертных газов.
ППУ является материалом с крайне низким коэффициентом теплопроводности. Именно поэтому ППУ используется как изоляция различных конструкций, в которых необходимо поддерживать стационарную температуру. В частности, изоляцией ППУ подвергают стальные трубопроводы и фасонные изделия. Данная технология получила название «Труба в Трубе» и регламентируется ГОСТ 30732-2006. Трубы, изолированные пенополиуретаном, называют Трубами в ППУ изоляции.
Пенополиуретаны (ППУ) являются универсальной продукцией из группы полимеров. Химическая структура материала может быть различной, но она обязательно включает уретановую группу NHCOO.
Универсальные качества и многофункциональность полимеров широко используют для производства материалов разной жесткости: от эластичных до сверхпрочных. Таких показателей удается достичь, меняя рецептуру и режим переработки.
В зависимости от вида исходного полиуретана ППУ может быть жёсткими или мягким ("поролон"):
- Мягкий пенополиуретан с плотностью от 5 до 40 кг/м3
- Жесткий пенополиуретан с плотностью от 30 до 86 кг/м3
Способ получения ППУ
Пенополиуретан получают взаимодействием соединений, содержащих изоцианатные группы с би- и полифункциональными гидроксилсодержащими производными. Для прохождения реакции присоединения и образования цепочек полимера необходимо наличие как минимум двух различных компонентов: полиола и полиизоцианата.
Протекание реакции
Вначале из диола и диизоцианата формируются бифункциональные молекулы изоцианата и гидроксильные группы. В результате прохождения цепной реакции, на обоих концах молекулярных групп образуются короткие цепочки структурно идентичных и однородных полимеров, которые могут быть полимеризованы с другими мономерами. В реакционную смесь добавляют незначительное количество воды, и в результате прохождения реакции с частью изоцианатных групп образуется углекислый газ, который и является основным фактором вспенивания. В то же время, первичная аминогруппа вступает в реакцию с изоцианатом, замещая мочевину, тем самым достигается устойчивость цепи. В качестве катализаторов для процесса уретанообразования используют третичные амины, хелатные соединения железа, меди, бериллия, ванадия, нафтенаты свинца и олова, октаноат и лауринат олова.
Теплоизоляция ППУ
Жесткий ППУ обеспечивает эффективную теплоизоляцию среди всех теплоизолирующих компонентов, представленных на рынке аналогичных материалов. Обладая плотностью не менее 60 кг/м3, пенополиуретан может иметь коэффициент теплопроводности до 0,033 Вт (м.К). Ему присуща низкая способность к водопоглощению. Если полимерный материал поместить в кипящую воду, то объем водопоглощения не превысит 10%
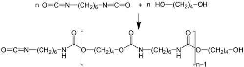
Химическое строение ППУ
Ниже представлена схема реакции присоединения полиолов при образовании ППУ и реакция полиизоционатов с водой.

Реакция присоединения полиолов
![]()
Реакция полиизоционатов с водой
Свойства и характеристики ППУ
Пенополиуретаны относятся к синтетическим эластомерам и нашли широкое применение в промышленности благодаря широкому диапазону прочностных характеристик. Используются в качестве заменителей резины при производстве изделий, работающих в агрессивных средах, в условиях больших знакопеременных нагрузок и температур. Диапазон рабочих температур — от −60 °С до +80 °С. Устойчивы к действию всех распространённых органических растворителей, застывшая смесь удаляется только механическим путём. В практических применениях требуют защиты от солнечного света и других УФ-источников.
Механические свойства полиуретанов изменяются в очень широких пределах и зависят от природы и длины участков цепи между уретановыми группами, структуры цепей (линейная или сетчатая), молекулярной массы и степени кристалличности. Полиуретаны могут быть вязкими жидкостями или являться твёрдыми веществами в аморфном или кристаллическом состоянии. Их свойства варьируются от высокоэластичных мягких резин до жёстких пластиков.
Благодаря очень низкой теплопроводности (0.019-0.03 Вт/(м*К)), хорошей адгезии, малой паропроницаемости, хорошим гидроизоляционным характеристикам именно жесткий пенополиуретан используется в качестве теплоизоляционного материала. Так, в частности, пенополиуретан используют для изоляции стальных труб и фасонных изделий к ним, предназначенных для прокладки тепловых сетей по ГОСТ 30732-2006.
Основные характеристики пенополиуретана при прокладке тепловых сетей:
-
Плотность не менее 60 кг/м3
-
Прочность при сжатии при 10 %-ной деформации в радиальном направлении не менее 0,3 Мпа
-
Водопоглощение при кипячении в течение 90 мин не более 10%
-
Прочность на сдвиг в осевом направлении для труб с полиэтиленовой оболочкой при температуре (23 ± 2) °С не менее 0,12 Мпа, а при температуре (140 ± 2) °С не менее 0,08 Мпа
-
Теплопроводность при средней температуре 50 °С не более 0,033 Вт/м°С
-
Прочность на сдвиг в тангенциальном направлении при температуре (23 ± 2) °С не менее 0,2 Мпа, а при температуре (140 ± 2) °С не менее 0,13 Мпа
-
Радиальная ползучесть теплоизоляции при температуре испытания 140 °С не более 2,5 мм в течение 100 часов и не более 4,6 мм в течение 1000 часов.
Торцы тепловой изоляции труб и фасонных изделий могут иметь гидроизоляционное покрытие, а именно могут покрываться мастикой. Пенополиуретан в разрезе должен иметь однородную замкнутую мелкоячеистую структуру. Пустоты размером более 1/3 толщины теплоизоляционного слоя не допускаются.
История образования ППУ
В 1937 году группой учёных впервые удалось синтезировать новое вещество с весьма необычными свойствами. В зависимости от скорости прохождения реакции и коэффициента смешивания полиола и полиизоцианата кардинально различались и свойства получаемого материала. С одной стороны, гибкий, упругий, но не прочный на разрыв, а с другой стороны — плотный, твёрдый, прочный, но в то же время хрупкий при сгибании. Уже в 1940 году началось промышленное производство полиуретана в качестве лепнины. До 1960-х годов пенополиуретан, как и многие другие полимеры, развивался очень медленно, но после 1960 начался бурный рост производства. Мягкий пенополиуретан (поролон), получил распространение в 1960-х годах несмотря на присущие поролону существенные недостатки. Поролон гигроскопичен, впитывает запах, имеет ограниченный температурный диапазон использования и, как следствие, относительно небольшой срок эксплуатации. Самым большим недостатком поролона является его пожароопасность. Введение же при производстве поролона в состав исходных компонентов антипиренов для увеличения огнестойкости материала приводит к резкому ухудшению его физико-механических характеристик и увеличению стоимости. Ранние образцы пенополиуретанов имели сравнительно небольшой срок службы, постепенно разлагаясь на воздухе. С развитием химии стабилизаторов этот недостаток в известной степени преодолён. Однако пожароопасные свойства данного материала сохранились.
Сферы применения
Основные сферы применения ППУ:
-
В автомобильной промышленности (автокресла, шумоизоляция, панели, подлокотники, рукоятки, бамперы и т д);
-
В мебельной промышленности;
-
В легкой промышленности, особенно в обувной промышленности;
-
При производстве холодильных установок;
-
При строительстве теплотрасс и некоторых других трубопроводов;
-
В капитальном строительстве и ремонте, как теплоизолятор, шумоизолятор и гидроизолятор.
Способы изоляции трубопроводов
Задача теплоизоляции трубопроводов посредством пенополиуретановой изолирующей скорлупы решается с помощью готовых изоляционных элементов. Их конструкция включает две полусферы, имеющие отформованные особым образом продольные и диаметральные стыки. Адаптированные характеристики делают монтаж теплоизоляции трубопровода быстрым и легким, а качество утепления – гарантированным.
Изоляция труб, транспортирующих стратегические компоненты, – газ, нефть, должна быть максимально надежной и эффективно противостоять воздействию влаги, грунтовых вод и возникновению очагов коррозии, нарушающих целостность трубы. Эту задачу экономно и качественно решает использование утепления, изготовленного из пенополиуретановых материалов.
Преимущества ППУ
ППУ отличается следующими преимуществами от других схожих материалов:
-
Теплоизолятор с очень низкой теплопроводностью;
-
Малая паропроницаемость;
-
Хорошая адгезия;
-
Высокие гидроизоляционные характеристики;
-
Универсален с точки зрения нанесения практически на любые поверхности (бумага, металл, древесина, штукатурка, кирпич, рубероид, черепица и т.д.);
-
Удобен в работе. Можно использовать в том числе и в быту в качестве монтажной пены;
-
Высокая механическая прочность после застывания.







